11月21日,中国科学院、中国工程院2025年院士增选结果公布。山东大学前沿交叉科学青岛研究院梁作堂教授当...
前沿交叉科学青岛研究院2026年最美奋斗者、优秀教师、优秀青年教师...
山东大学前沿交叉科学青岛研究院2026年招收攻读博士学位研究生简章...
前沿交叉科学青岛研究院2026年硕士研究生招生复试工作方案
山东大学前沿交叉科学青岛研究院2026年招收攻读博士学位研究生简章
近日,前沿交叉科学青岛研究院刘林华/杨家跃团队在功能复合材料领域取得新进展,成...
近日,前沿交叉科学青岛研究院朱辉教授团队与南昌大学合作,在地球磁赤道附近磁层-...
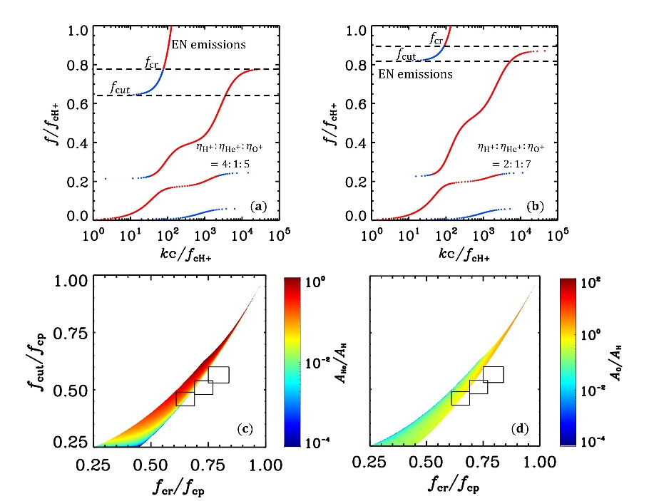
近日,山东大学前沿交叉科学青岛研究院粒子物理理论团队魏树一研究员、周剑教授、...
近期,STAR国际合作组在相对论重离子对撞机(RHIC)能区,通过高能钌核-钌核以及锆...
近日,前沿交叉科学青岛研究院极端条件热物理刘林华/杨家跃团队开发了一种多尺度界...
2026年3月2日至6日(美国东部时间),美国布鲁克海文国家实验室召开了STAR合作组会...
2026 年 1 月 23 日至 26 日,首届喷注与重夸克物理研讨会(JAQ 2026)在华中师范...
1月23日,高能物理大数据智能计算交叉团队建设研讨会在山东大学青岛校区召开。来自...
近日,2025年中国·山东博士(后)创新创业大赛创业赛决赛在济南圆满收官。经过多轮...
近日,山东大学STAR实验团队联合美国德克萨斯农工大学团队,在横向极化的质子-质子...
2026年第1期
2026年第12期
太空科技前沿论坛第24期
2025年3月更新
117
在职教职工117人,科研教师63人,国家级人才称号22人
2.8亿
实到经费:累计2.8亿余元
1600
科技论文:累计1600余篇
27
重大重点类科研项目:累计27项
1
科研平台:教育部重点实验室1个
3
一级学科:3个
266
学生总人数266人,其中本科生112人,硕士研究生71人,博士研究生83人
100%
就业率常年保持100%
30%
研究院公派出国交流率30%,其中粒子科学技术研究中心公派出国交流率高达42%
15
我院研究生赴美国、法国、德国等共计15个国家开展学术交流活动,与CERN、Brookhaven National Laboratory等著名研究机构建立起科研合作、人才培养等全方位合作关系
山大首页
学校邮件系统登录
OA办公系统登录
信息化公共服务平台
校园卡自主服务平台